A Simplified Model of Aerosol Removal by Containment Sprays (NUREG/CR-5966, SAND92-2689)
On this page:
Download complete document
Publication Information
Manuscript Completed: March 1993
Date Published: June 1993
Prepared by:
D. A. Powers, Sandia National Laboratories
S. B. Burson, Nuclear Regulatory Commission
Sandia National Laboratories
Albuquerque, NM 87185
Prepared for:
Division of Safety Issue Resolution
Office of Nuclear Regulatory Research
U.S. Nuclear Regulatory Commission
Washington, DC 20555-0001
NRC FIN L2035
Abstract
Spray systems in nuclear reactor containments are described. The scrubbing of aerosols from containment atmospheres by spray droplets is discussed. Uncertainties are identified in the prediction of spray performance when the sprays are used as a means for decontaminating containment atmospheres. A mechanistic model based on current knowledge of the physical phenomena involved in spray performance is developed. With this model, a quantitative uncertainty analysis of spray performance is conducted using a Monte Carlo method to sample 20 uncertain quantities related to phenomena of spray droplet behavior as well as the initial and boundary conditions expected to be associated with severe reactor accidents. Results of the uncertainty analysis are used to construct simplified expressions for spray decontamination coefficients. Two variables that affect aerosol capture by water droplets are not treated as uncertain; they are (1) 'Q', spray water flux into the containment, and (2) 'H', the total fall distance of spray droplets. The choice of values of these variables is left to the user since they are plant and accident specific. Also, they can usually be ascertained with some degree of certainty. The spray decontamination coefficients are found to be sufficiently dependent on the extent of decontamination that the fraction of the initial aerosol remaining in the atmosphere, mf, is explicitly treated in the simplified expressions. The simplified expressions for the spray decontamination coefficient are:
λ(hr -1) = λ(mf = 0.9) [X(mf)/X(mf = 0.9)]
where
ln λ(mf=0.9) = A + B ln Q + CH + DQ2H +. EQH2 +FQ
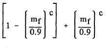
| λ(mf)/λ(mf = 0.9) = [a + b log10 Q] | ![]() |
Parametric values for these expressions are found for median, 10 percentile and 90 percentile values in the uncertainty distribution for the spray decontamination coefficient. Examples are given to illustrate the utility of the simplified expressions to predict spray decontamination of an aerosol-laden atmosphere.
Page Last Reviewed/Updated Tuesday, March 09, 2021
Page Last Reviewed/Updated Tuesday, March 09, 2021
